フィンテック アセットマネジメントについて

フィンテック アセットマネジメントは、東証上場企業であるフィンテック グローバル(FGI)の
グループ会社として、アセットマネジメント事業や不動産小口化商品などにおいて
数多くの投資機会を提供しています。

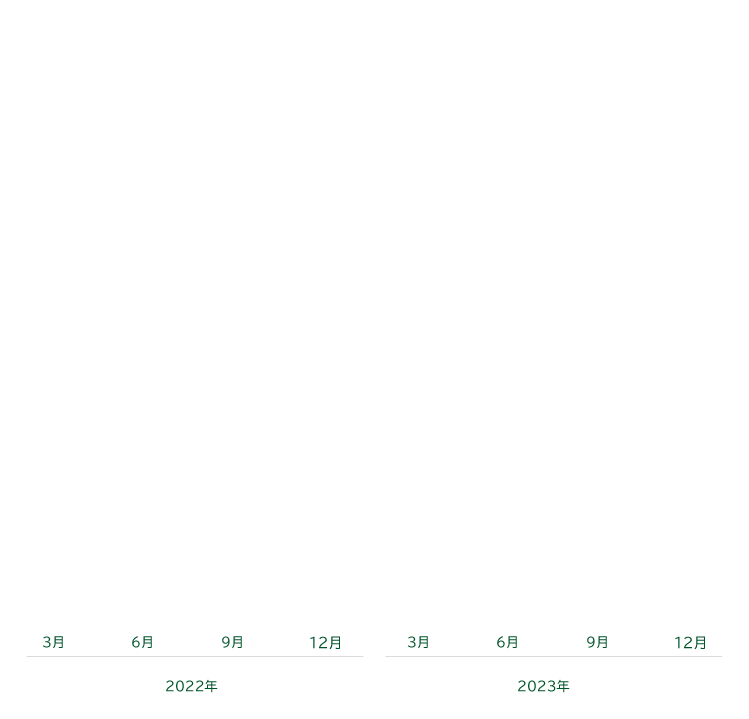
受託資産残高

1,540億円

*2024年12月現在

受託資産残高の推移

受託資産残高の推移 グラフ

*FAMの投資運用・投資助言における契約資産の合計です。

事業概要

金融商品取引法、不動産特定共同事業法、宅地建物取引業法に基づくライセンスを保有し、
「不動産」に関連する様々なソリューションをご提供しています。

ファイナンスアレンジメント・ファンド組成

金融と不動産の豊富な実績に基づいたノウハウを活かし、国内外の金融機関・投資家との幅広いネットワークにより案件に最適なファイナンスアレンジを行います。
また、FGIグループは開発型不動産ファンドの組成においても業界トップクラスのノウハウを有しています。

詳しく見る

アセットマネジメント・その他業務

アセットタイプを問わず、計画から運用まで案件ごとに最適なマネジメントを提供しています。
このほか、投資ファンドや機関投資家に対してのコンサルティングや、業務を引き継ぐバックアップAMなど様々なアセットマネジメント関連業務を行っています。

詳しく見る

News

2025.09.11
不動産小口化商品「FAMコネクト(グランド神楽坂)」ページを公開いたしました。
2025.06.13
物流施設の証券化アレンジメントに関するお知らせ
2025.06.09
不動産小口化商品「FAMコネクト(エルファーロ南麻布)」ページを公開いたしました。
2025.04.23
(開示事項の経過)当社グループが利用するメールシステムへの不正アクセスに関するお知らせ
2025.04.17
当社グループが利用するメールシステムへの不正アクセスに関するお知らせ
2024.08.26
「映画デジタル証券・フィルムメーカーズプロジェクト1 – HERO’s ISLAND」の投資家様向けサイトを公開しました。
2023.10.01
代表取締役社長 就任のお知らせ プライバシーポリシー改定のお知らせ
2023.03.01
プライバシーポリシー改定のお知らせ
2022.10.01
不動産小口化商品「FAMコネクト」麻布台TSタワーを販売開始いたしました。
2022.04.01
プライバシーポリシー改定のお知らせ
2021.06.07
無料オンラインセミナーのお知らせ
2020.11.25
国土交通省「不動産特定共同事業(FTK)等の不動産証券化手法による公的不動産(PRE)の活用に向けたモデル事業」の参画事業者への選定に関するお知らせ
2017.05.10
富士屋旅館合同会社との特例事業業務委託契約締結に関するお知らせ
2015.03.18
当社は、不動産特定共同事業法第2条第4項第3号に掲げる業務を行うことにつき、金融庁及び国土交通省より許可を受けました。